The body needs choline to synthesize phosphatidylcholine and sphingomyelin two major phospholipids vital for cell membranes. Choline is an essential nutrient that is naturally present in some foods and available as a dietary supplement.
Best Form Of Choline
Choline An Overview Sciencedirect Topics
Choline Chloride Cas 67 48 1 Scbt Santa Cruz Biotechnology
Choline is a key component of lecithin phosphatidylcholine which is a fat like substance found in our cells.
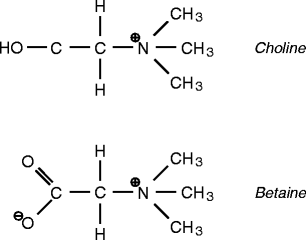
Cholinw. The term cholines refers to the class of quaternary ammonium salts containing the nnn trimethylethanolammonium cation x on the right denotes an undefined counteranion. Choline is a source of methyl groups needed for many steps in metabolism. Choline found in ample amounts in egg yolks was first discovered in 1862.
Choline is likely safe for most adults when taken by mouth or given intravenously by iv in appropriate amounts. Choline is a recently discovered nutrient. Taking high doses of choline by mouth is possibly unsafe for adults.
Choline found in ample amounts in egg yolks is an essential nutrient for brain nervous system cardiovascular and liver function and is essential for prevention of fatty liver disease including nonalcoholic fatty liver disease nafld. Choline is a molecule mostly used for either its cognitive boosting properties turning into acetylcholine the learning neurotransmitter or as a liver health agent able to reduce fatty liver buildup. It was only acknowledged as a required nutrient by the institute of medicine in 1998.
Found in high amounts in eggs the yolks in particular. Its also worth noting that choline can be found in soy products especially soy lecithin. The cation appears in the head groups of.
1 since then weve learned that this is a truly essential nutrient for a healthy brain nervous system and cardiovascular function. The food and nutrition board of the institute of medicine of the national academy of sciences recommends 425 to 550 milligrams of choline daily for adults as adequate intake. Choline is an essential nutrient necessary for a wide range of functions from cellular maintenance to creating neurotransmitters.
Choline soy lecithin. It is a constituent of lecithin which is present in eggs and in many plants and animal organs. Its particularly crucial during fetal development 2 so choline requirements rise exponentially in pregnant women.
3 importantly choline is used in the synthesis of phospholipids in. Choline k o l i n is a water soluble vitamin like essential nutrient. Although your body makes some you need to get choline from your.
While rare a deficiency in choline often appears as an increase in liver enzymes and can lead to liver disease heart disease and even neurological disorders1. Soy lecithin is a controversial substance that is used in food products as an emulsifier and sold as supplements. Choline is an essential nutrient that is usually classified with the b vitamins.
Choline And Betaine In Health And Disease Springerlink
Complete Guide To Choline As A Nootropic Stack
Choline Vitamin Like Nutrient May Help Protect Against Alzheimer S

EmoticonEmoticon