Bacopa extract supplement with bacosides. Studies have shown it to have antioxidant adaptogenic and memory enhancing effects.
Plos One In Silico And In Vitro Analysis Of Bacoside A Aglycones
Neuropharmacology Of Bacopa Monnieri With Reference To Bacosides
Brahmi Bacopa Monniera
Bacopa monniera bacopa is an ayurvedic herb from india.
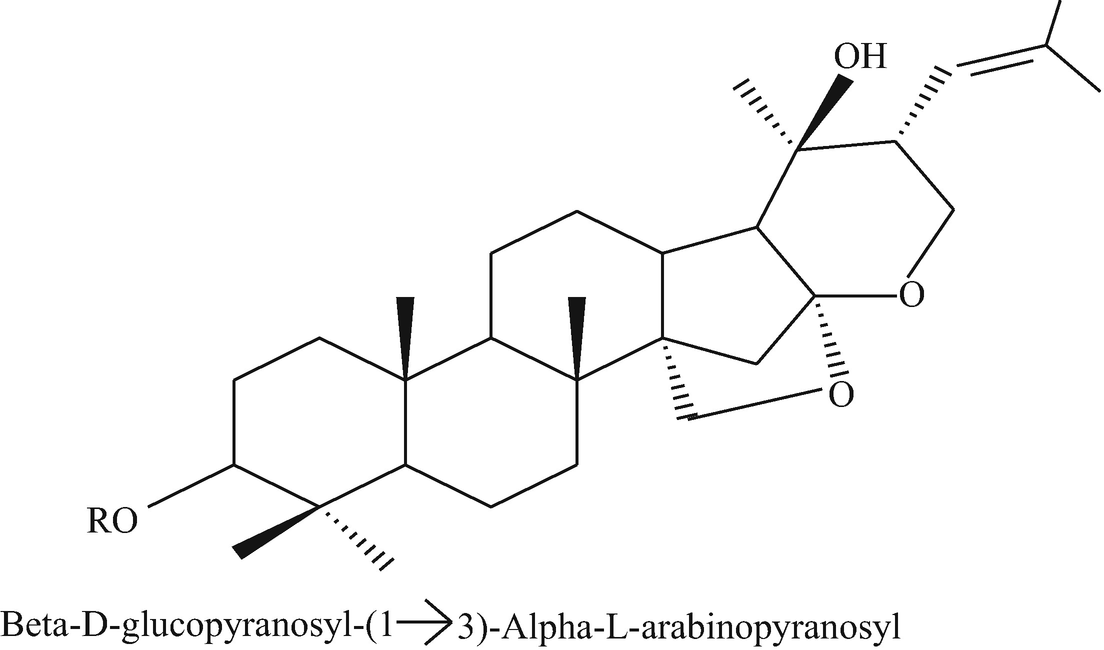
Bacosides a and b. There are various standardized extracts of bacopa containing different percentages of bacosides. The use of bacopa herb has a long history of 1500 years in the asian ayurvedic system of medicine where it is known as brahmi. The nerve tonic activity of bacopa monniera has been attributed to two saponins named bacosides a and b.
In the shock motivated brightness discrimination reaction a single oral dose of 10 mgkg 90 min prior to training significantly reduced the time per trial increased the number of. The bacopa plant contains chemicals called saponins which are designated bacosides a and b. Bacopa contains bacosides a and b which enhance neuron repair and speed up information transfer between brain cells.
Bacosides regenerate synapses and repair damaged neurons thereby making it easier to learn and remember new information. Its major constituents include the saponins bacoside a3 bacopaside ii jujubogenin isomer of bacopasaponin c and bacopasaponin c. The herb was tested to see if it could prevent or.
What is bacopa monnieri extract. This study was done to test bacopas antioxidant effects. Bacosides a and b influence cholinergic system.
Bacopa is usually ground into a powder and taken in capsule form. Bacoside a is a mixture of chemical compounds known as bacosides isolated from bacopa monnieri. Two common bacopa extracts include bacosides at 20 percent and 40 percent.
Bacosides a and b improve the transmission of impulses between the neurons. Bacopa monnieri extract with active ingredients as bacopasides bacoside a b according to wikipedia is an herb native to india and part of china. In the present investigation bacosides a and a mixture of the two saponins were used as aqueous suspensions.
Brahmi increases brain serotonin a neurotransmitter promoting relaxation. This herb also has powerful antioxidant properties which protect the brain cells from damage. Bacoside a is thought to be the active ingredient in bacopa herb along with bacoside b.
The mixture has been studied in in vitro experiments and animal models for its potential neuroprotectivity.
Bacopa Benefits And Side Effects Gardening Herbs Herbs
Structures Of Bacoside A Saponin Glycosides And Aglycones Bacoside
Memory Booster Plant Bacopa Monniera Brahmi Biotechnology And

EmoticonEmoticon